La centrifugación es una técnica de separación de compuestos a partir de una mezcla compleja por su diferente comportamiento ante la presencia de un campo gravitacional intenso. Puede ser una técnica tanto preparativa, cuando su objetivo es obtener una mezcla más simple enriquecida en un determinado compuesto o una técnica analítica, cuando pretendemos conocer algún parámetro característico (aquel que no depende de las condiciones experimentales) y que nos permite identificarlo.
Durante la centrifugación, hay que tener en cuenta parámetros como la temperatura generada, el tiempo y la velocidad de giro y si el sistema dispone de frenado o no.
En general, existen tres tipos diferentes de centrífugas, que se caracterizan por la velocidad de giro del rotor:
1) Centrífugas de mesa: (o de baja velocidad) con un máximo de velocidad de giro de aproximadamente 5.000 rpm, no permite alcanzar grandes campos de centrifugación. Se utiliza en cultivos celulares, para separar células intactas, núcleos…
2) Centrífugas refrigeradas: con un máximo de velocidad de giro de aproximadamente 25.000 rpm y sometido a una refrigeración continua. Se utiliza para separar fraccionamientos subcelulares, muestras precipitadas con sulfato amónico, inmunoprecipitados…
3) Ultracentrífugas: con un máximo de velocidad de giro de aproximadamente 75.000 rpm, provista de una bomba de vacío para eliminar el rozamiento con el aire. Permiten separar DNAs, RNAs, proteínas…
Los tipos de rotores más comunes son fijos o angulares, balancines o flotantes y/o verticales.
De un homogeneizado (HMG) obtenido a partir de las técnicas de rotura celular, podemos someterlo a centrifugación para proceder a separar ese complejo de macromoléculas. Para comprender la centrifugación es necesario conocer y considerar los parámetros físicos que afectan a las moléculas que van a ser separadas. Así la sedimentación del compuesto va a depender de la naturaleza del compuesto, la densidad del medio y la velocidad/tiempo de giro.
Consideramos una partícula P esférica y lisa (partícula ideal), cuando se produce la centrifugación, la partícula P se ve sometido a tres fuerzas: la fuerza de centrifugación (Fc), la fuerza de flotación (Fh) y la fuerza de fricción (Ff). Mientras que la primera fuerza tiende a llevar la partícula al fondo del tubo, las otras dos fuerzas se oponen al movimiento (signo negativo por convenio).
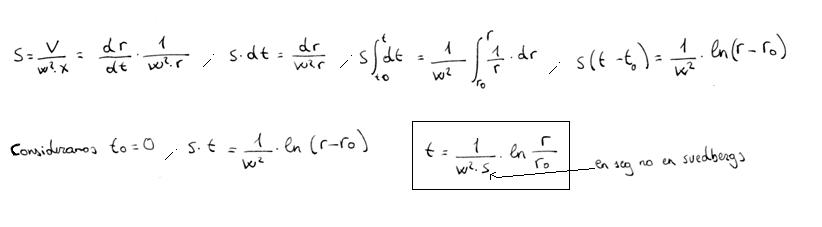
Se ha definido una unidad que es el coeficiente de sedimentación (S) y que se define como la velocidad de sedimentación dividida por unidad de campo centrífugo.
Una de las aplicaciones fundamentales de la centrifugación es la de calcular los tiempos de sedimentación de una partícula ideal utilizando los cálculos anteriores podemos deducir el tiempo que tardaría una partícula conocida en llegar al fondo del tubo y sedimentar.
Existen dos tipos de centrifugación fundamentalmente: la centrifugación diferencial y la centrifugación en gradientes de densidad.
La centrifugación diferencial: a tiempo 0 la distribución de partículas del tubo que va a ser centrifugado es homogénea. De manera que si aplicamos una centrifugación a una determinada velocidad y durante un tiempo determinado, vamos a obtener en el fondo del tubo un sedimento (pellet) y una fase líquida denominada sobrenadante. Este pellet no es puro, sino enriquecido en un determinado compuesto. Las partículas se separan en función de su tamaño.
La centrifugación en gradiente de densidad, se genera un medio previo con diferentes capas de densidad a lo largo del tubo de centrífuga, y se aplica la muestra a separar y la centrifugación. Las partículas se pueden separan gracias a su velocidad de sedimentación (se separan en función de su S) y por equilibrio de sedimentación (centrifugación isopícnica, se separan en función de la densidad de la partícula).
Gracias a la centrifugación se han alcanzado importantes conocimientos en la biología molecular. Así se comprobó que las proteínas eran macromoléculas, se demostró el modelo de replicación semiconservativa; experimentos de los cuales comentaré algo en una nueva entrada… Por otro lado, la centrifugación es una técnica usada a diario en los laboratorios bioquímicos.


muy completo
ResponderEliminarHola que tal, me interesa su ayuda, tengo una centrifuga y voy a centrifugar a 400 g, ( actualmente lo utilizo en RPM)mi manual de equipo indica un radio maximo 140 y un radio minimo.
ResponderEliminarMI DUDA ES TENGO QUE REALIZAR LA MEDICION DEL ROTOR AL EXTREMO DE LA CAMISA.? O PUEDO UTILIZAR EL MAXIMO Y MINIMO